Cédric Beaume
Applied Mathematician
You are in Teaching > Foundations of Fluid Dynamics
MATH5453 Foundations of Fluid Dynamics
Lecture 1: Continuum hypothesis and kinematics
The continuum hypothesis: video, notes
Lecture 2: Mass conservation and streamfunctions
Index notation: video, notes 1/3, notes 2/3, notes 3/3
Mass conservation: video, notes 1/2, notes 2/2
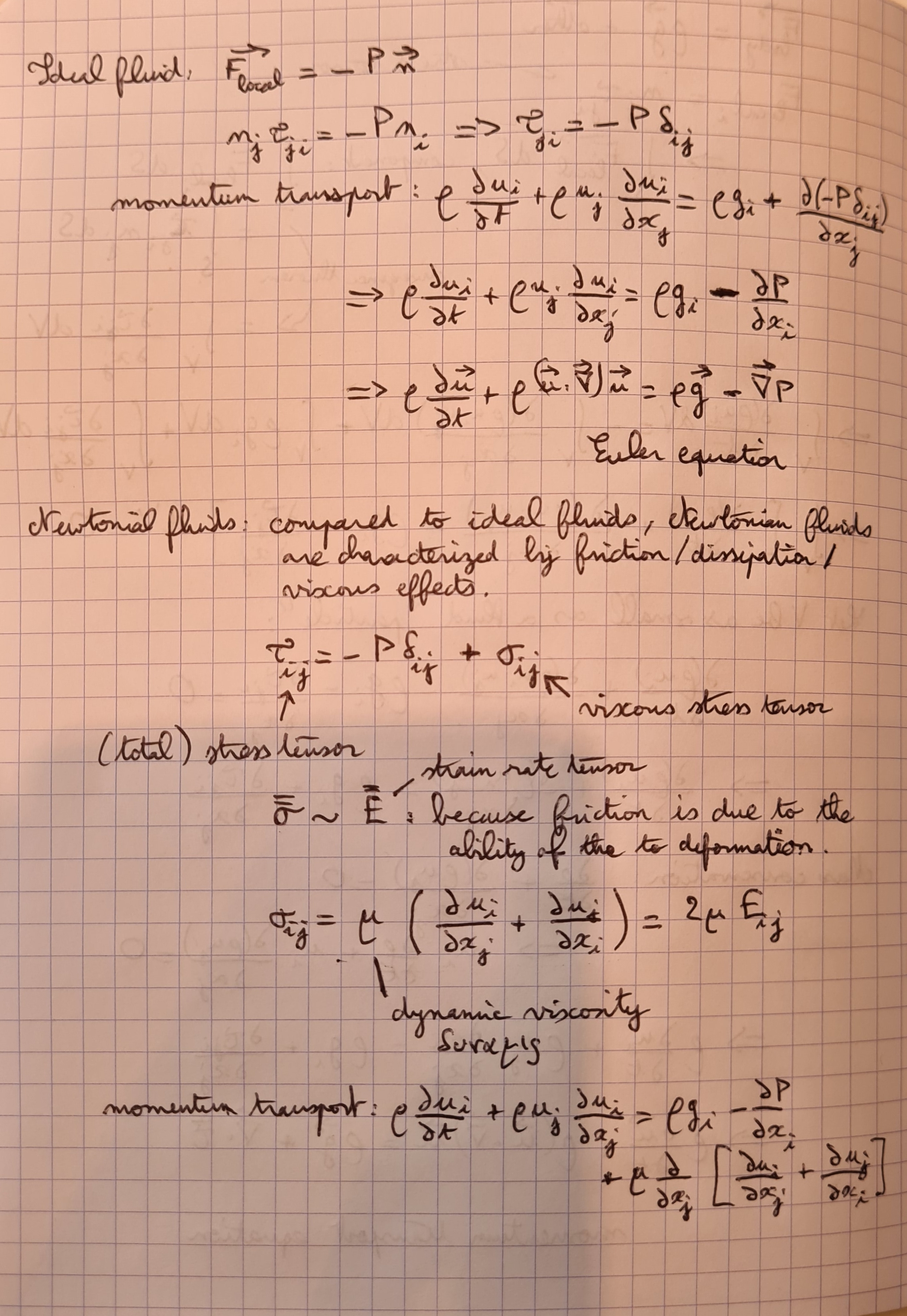
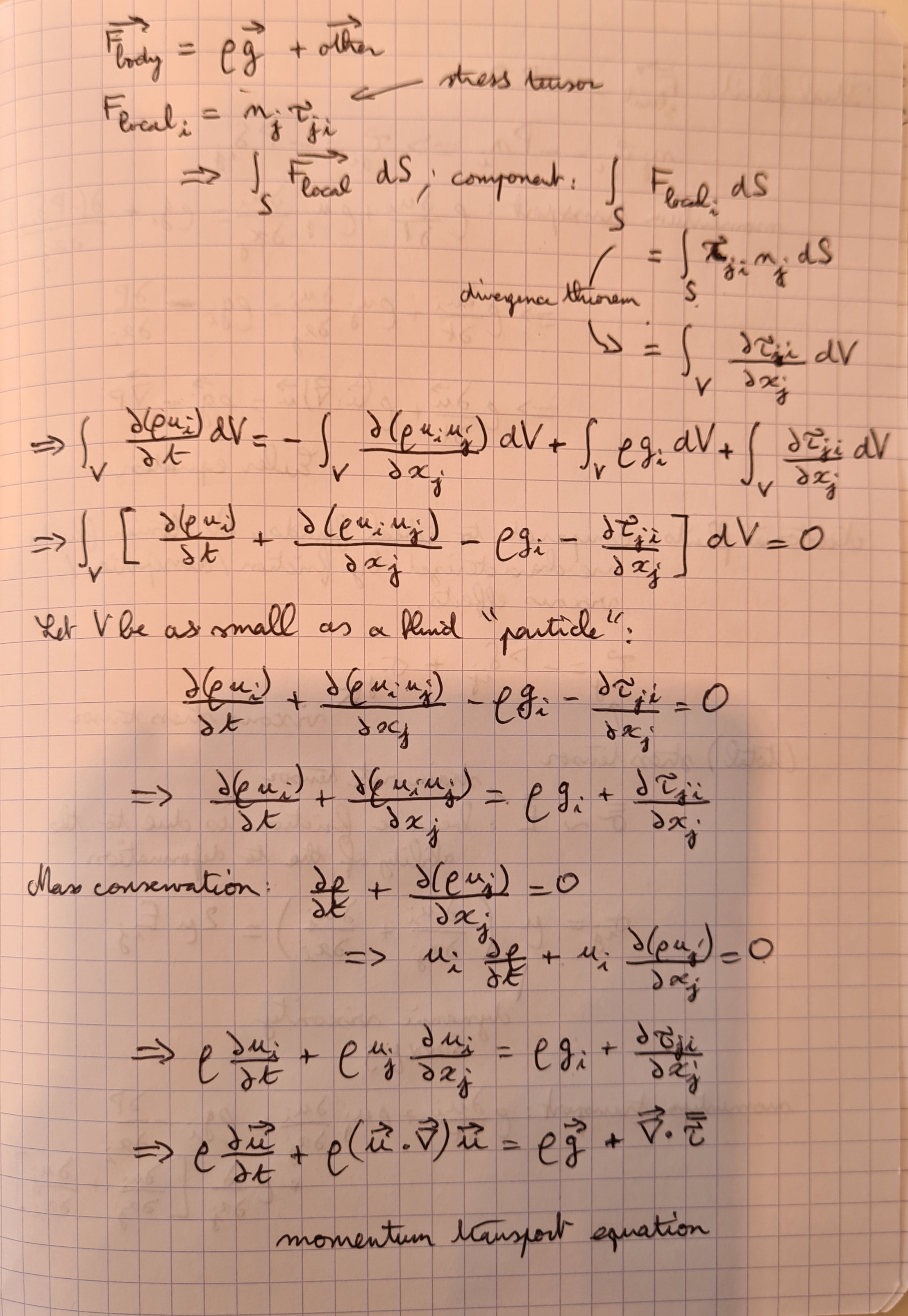
Lecture 3: The Navier–Stokes equation
The Navier–Stokes equation: video, notes 1/4, notes 2/4, notes 3/4, notes 4/4
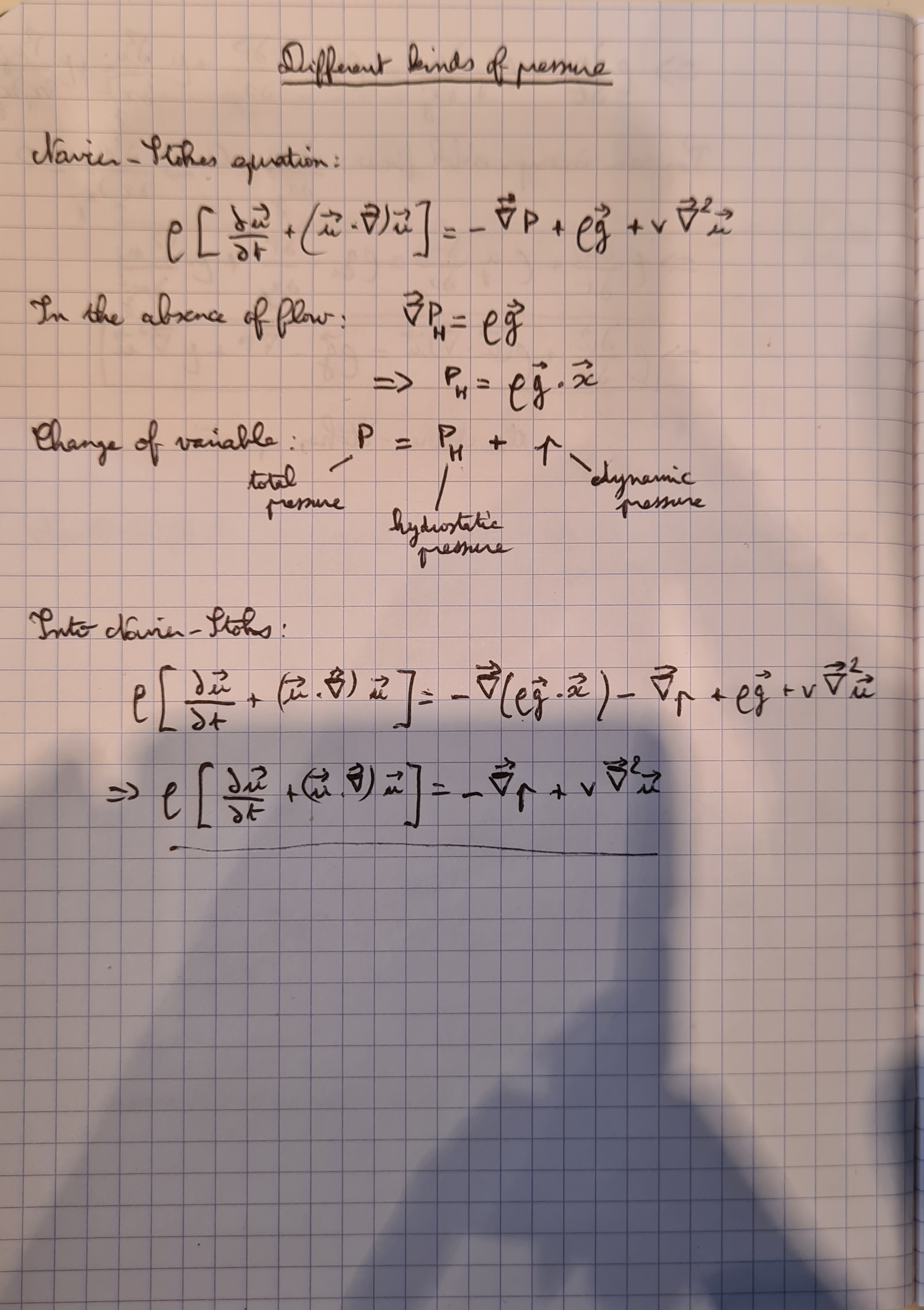
Different kinds of pressures: video, notes
Boundary conditions: video, notes 1/2, notes 2/2
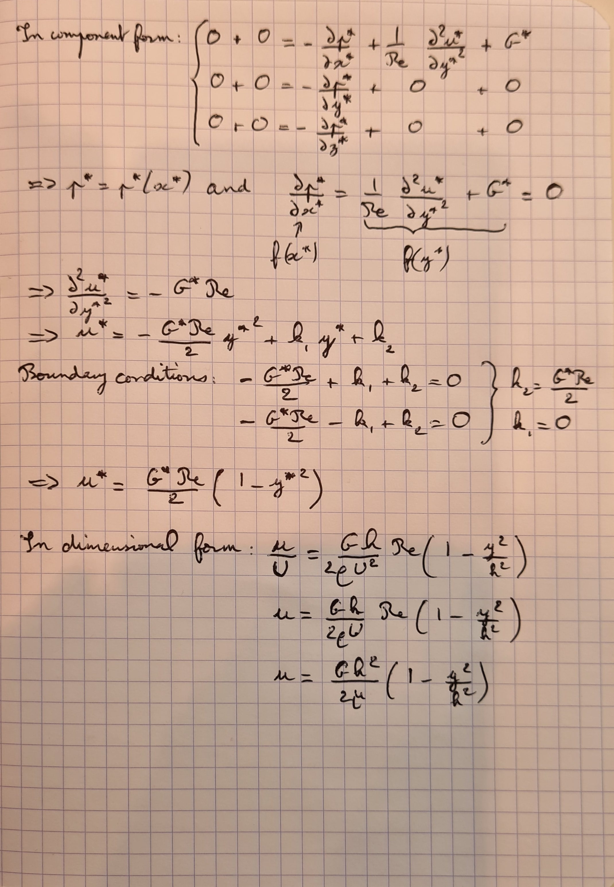
Lecture 4: Some exact solutions of the Navier–Stokes equation
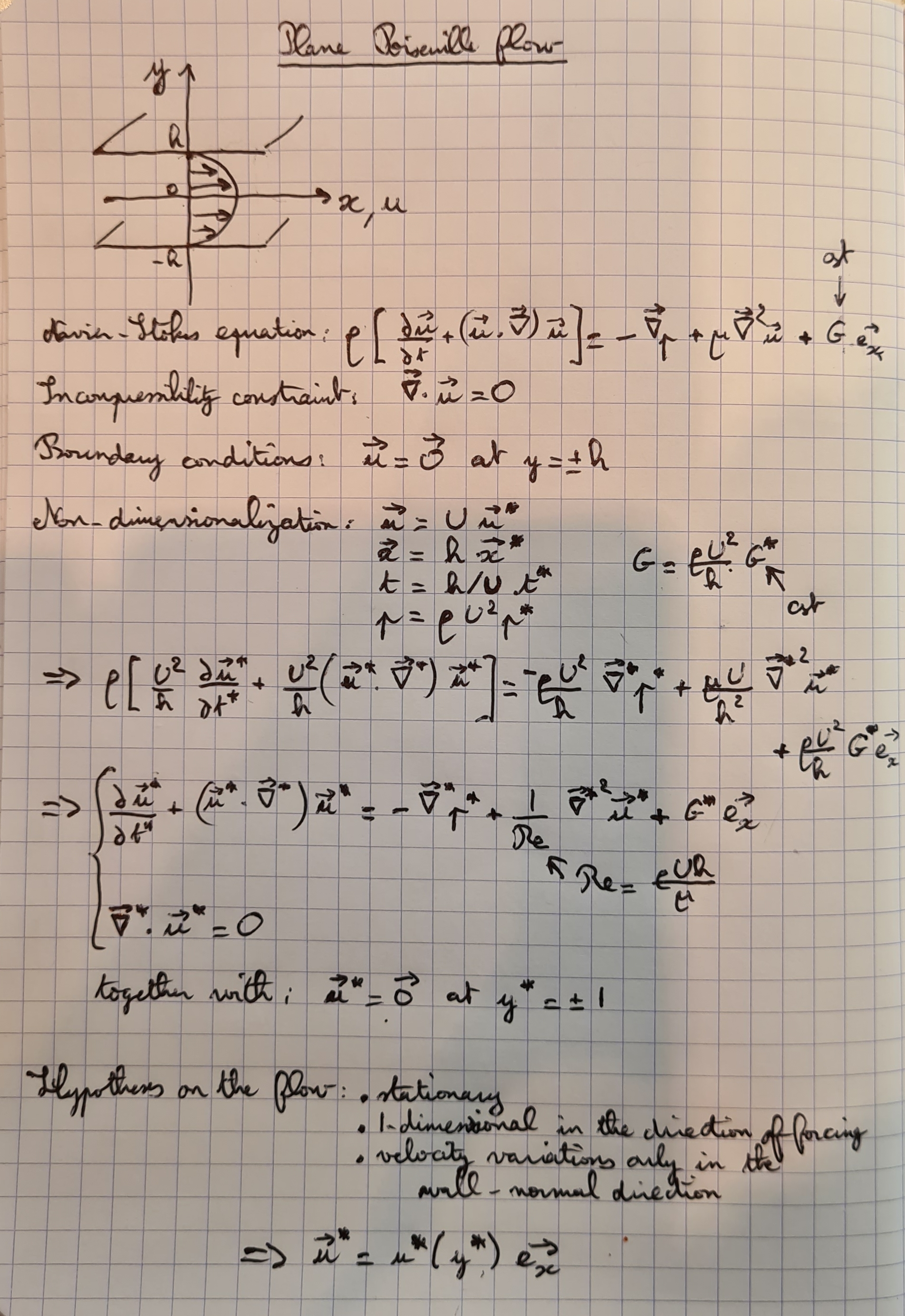
Plane Poiseuille flow: video, notes 1/2, notes 2/2
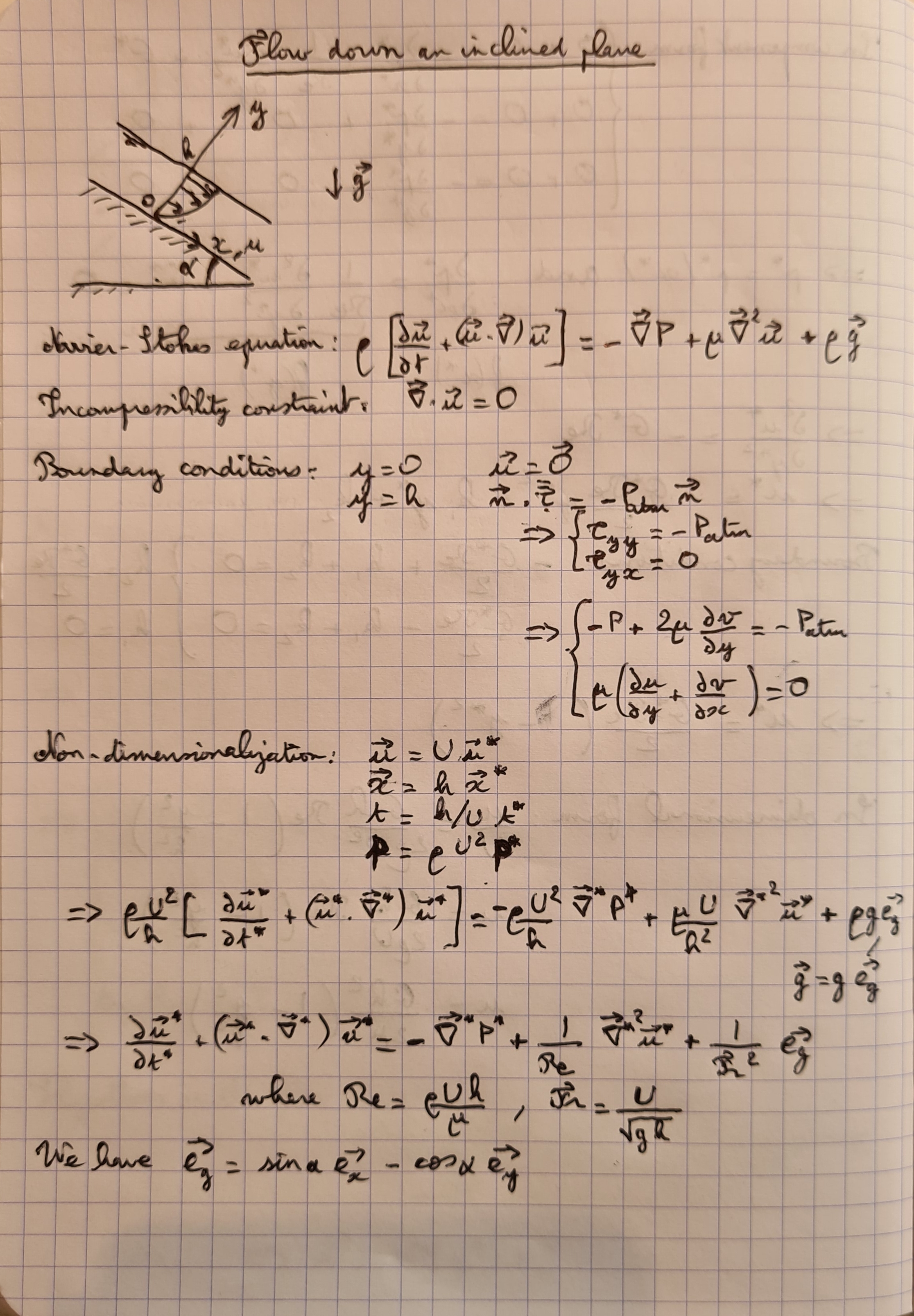
Flow down an inclined plane: video, notes 1/3, notes 2/3, notes 3/3
Stokes first problem: video, notes 1/2, notes 2/2
Plane Couette flow startup: video, notes 1/3, notes 2/3, notes 3/3
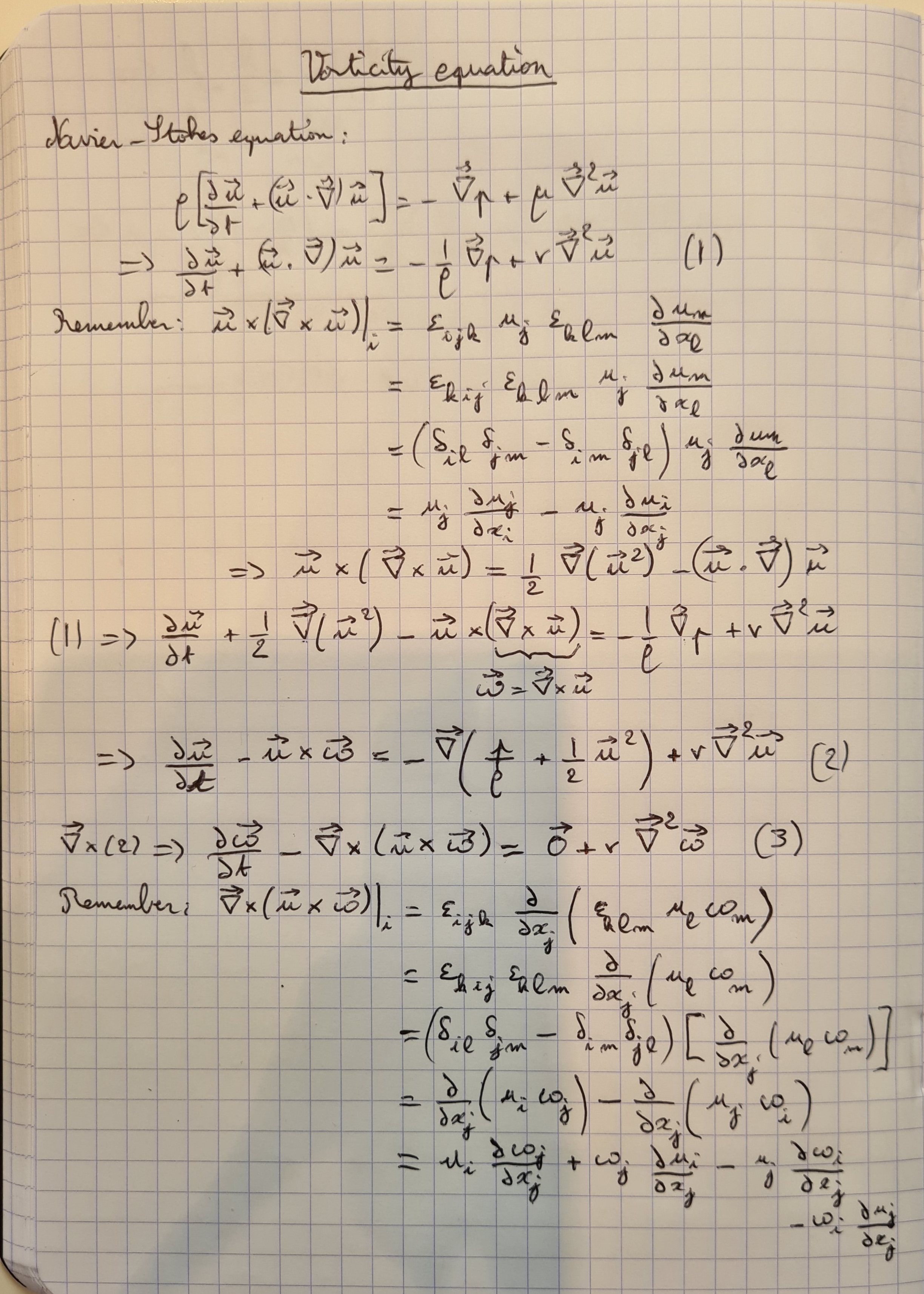
Lecture 5: Vorticity
The vorticity equation: video, notes 1/2, notes 2/2
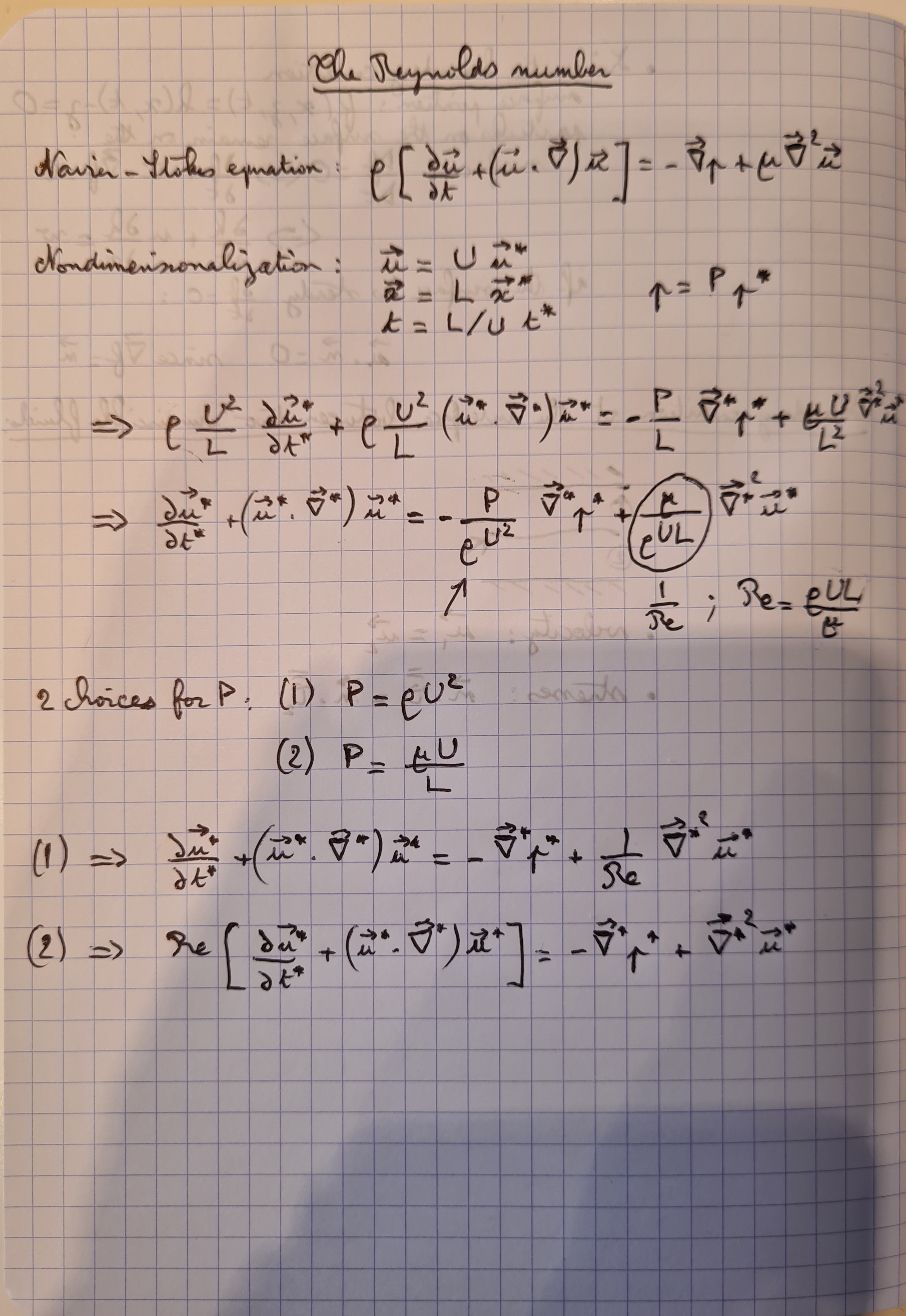
Lecture 6: Dynamical similarity and the Reynolds number
The Reynolds number: video, notes
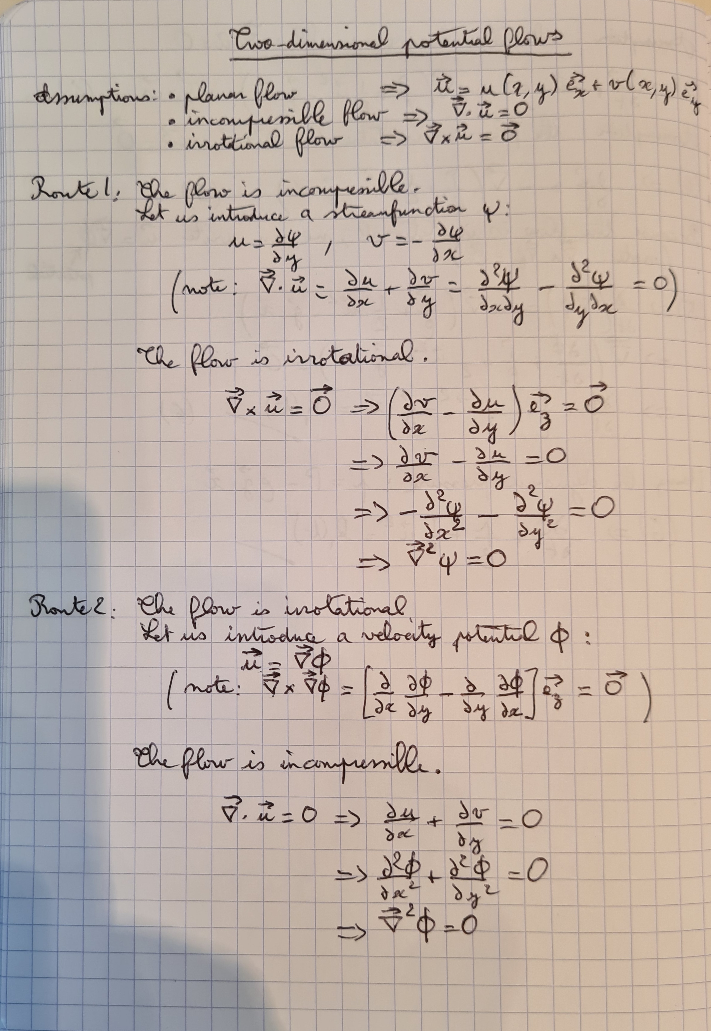
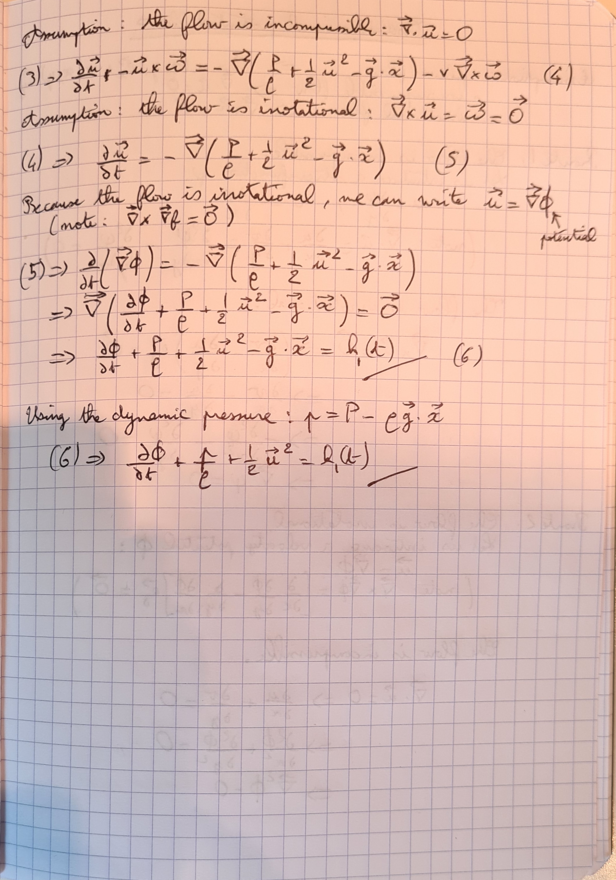
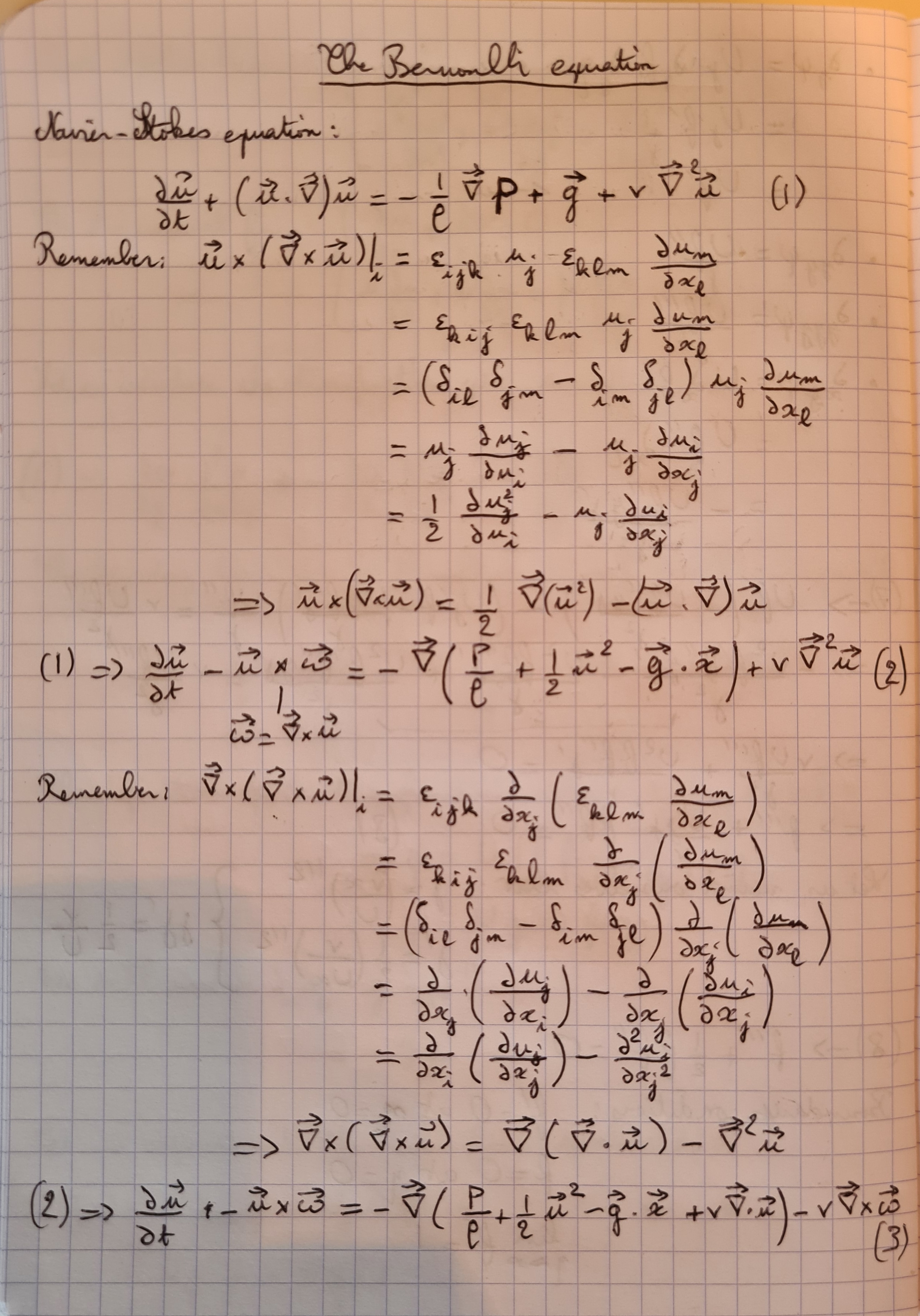
Lecture 7: Potential flows and the Bernoulli equation
The Bernoulli equation: video, notes 1/2, notes 2/2
Two-dimensional potential flows: video, notes
The complex potential: video, notes 1/2, notes 2/2
Lecture 8: Energy and thermodynamics
Lecture delivered by Dr. Oliver Harlen.
Lecture 9: Applications of thermodynamics and the heat equation
Lecture delivered by Dr. Oliver Harlen.
Lecture 10: Thermal convection
Lecture delivered by Dr. Oliver Harlen.
Lecture 11: Waves: Linear theory of sound waves
Lecture delivered by Dr. Oliver Harlen.
Lecture 12: Water waves
Lecture delivered by Dr. Oliver Harlen.
Lecture 13: Energy transport in deep water waves
Lecture delivered by Dr. Oliver Harlen.
Lecture 14: Internal gravity waves
Lecture delivered by Dr. Oliver Harlen.
Lecture 15: Nonlinear waves
Lecture delivered by Dr. Oliver Harlen.
Lecture 16: Bore formation and energy loss
Lecture delivered by Dr. Oliver Harlen.
Lecture 17: Low Reynolds number flows
Lecture delivered by Dr. Oliver Harlen.
Lecture 18: Lubrication theory
Lecture delivered by Dr. Oliver Harlen.
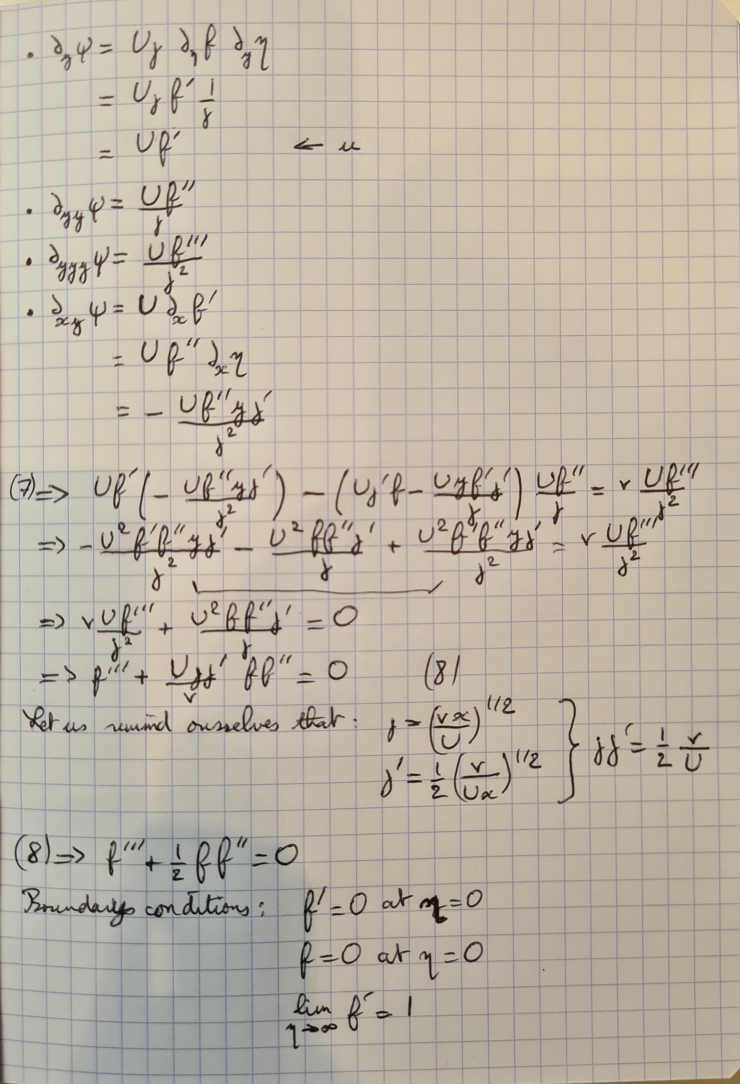
Lecture 19: High Reynolds number flows and boundary layers
The Blasius boundary layer: video, notes 1/4, notes 2/4, notes 3/4, notes 4/4
Lecture 20: From laminar to turbulence
Lecture 21: Introduction to turbulence modelling
Lecture 22: Computational models for turbulent flows
Additional documents


