Cédric Beaume
Applied Mathematician
You are in Teaching > Fluid Dynamics II
MATH3620 Fluid Dynamics II
Chapter 1: Mathematical tools
Example sheets: questions, solutions
Index notation: video, notes 1/3, notes 2/3, notes 3/3
The continuum hypothesis: video, notes
The velocity gradient: video, notes 1/2, notes 2/2
Mass conservation: video, notes 1/2, notes 2/2
Chapter 2: The Navier–Stokes equation
Example sheets: questions, solutions
The Navier–Stokes equation: video, notes 1/4, notes 2/4, notes 3/4, notes 4/4
Different kinds of pressures: video, notes
Boundary conditions: video, notes 1/2, notes 2/2
The Reynolds number: video, notes
Plane Poiseuille flow: video, notes 1/2, notes 2/2
Flow down an inclined plane: video, notes 1/3, notes 2/3, notes 3/3
Chapter 3: Stokes flows
Example sheets: questions, solutions
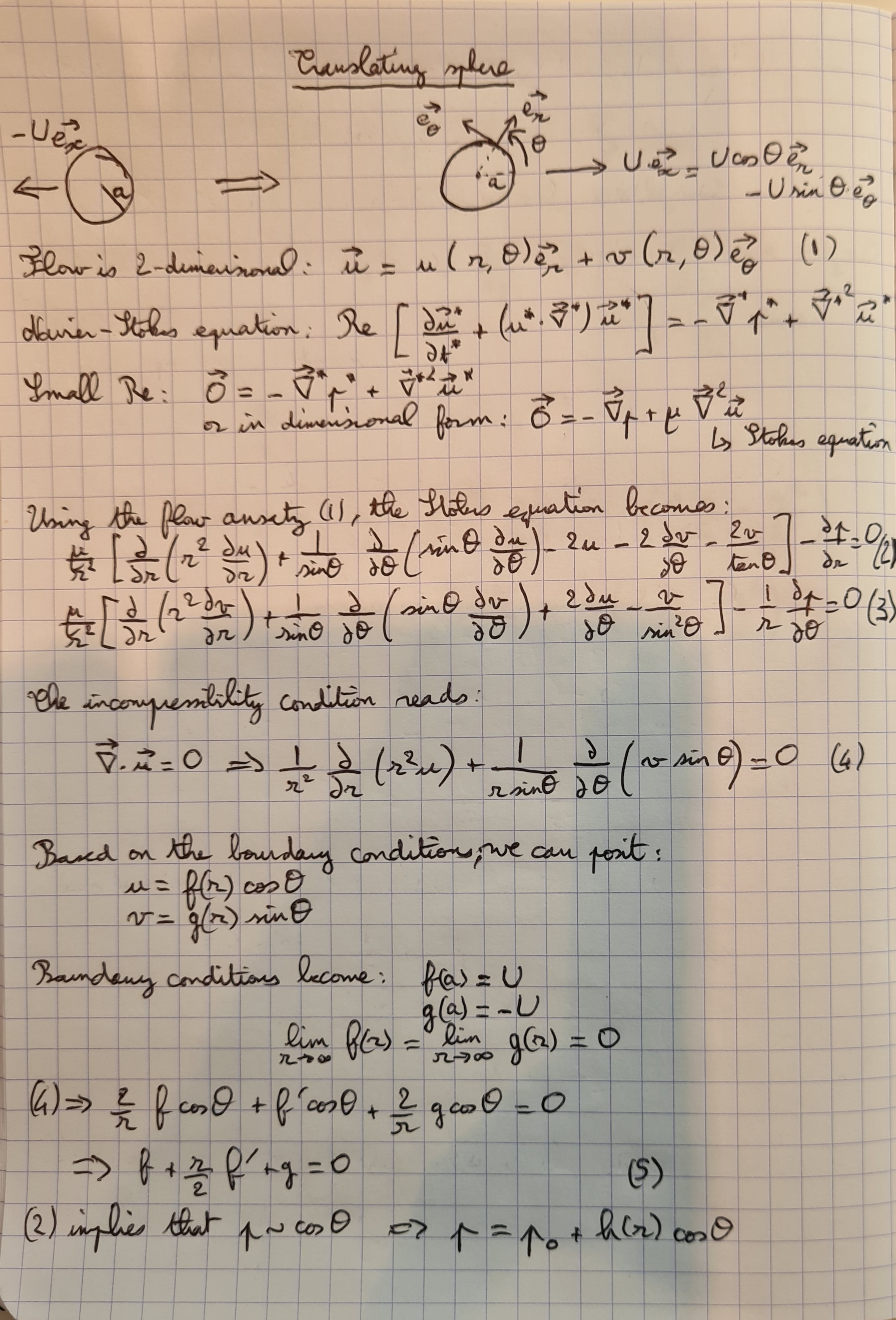
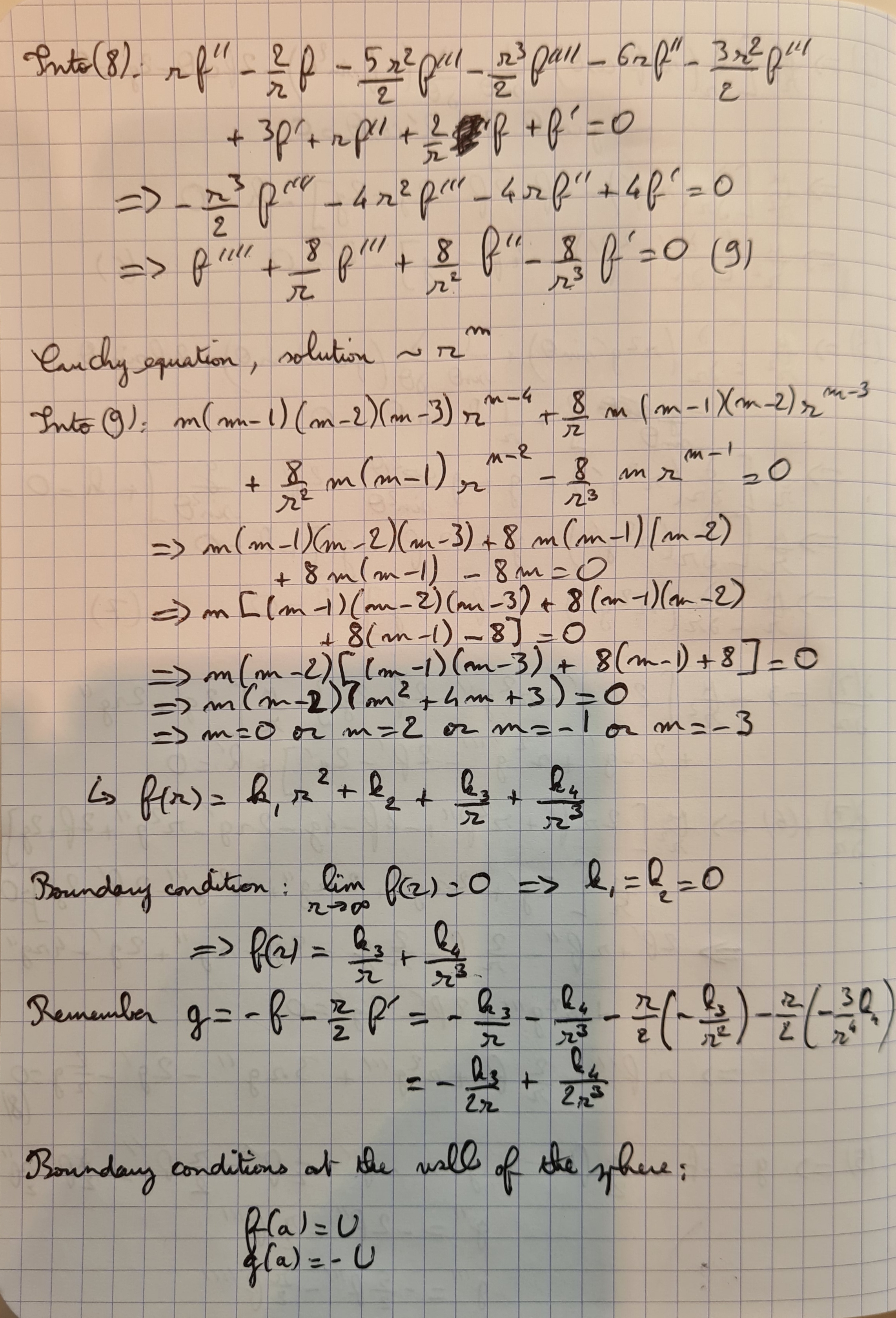
Translating sphere: video, notes 1/4, notes 2/4, notes 3/4, notes 4/4
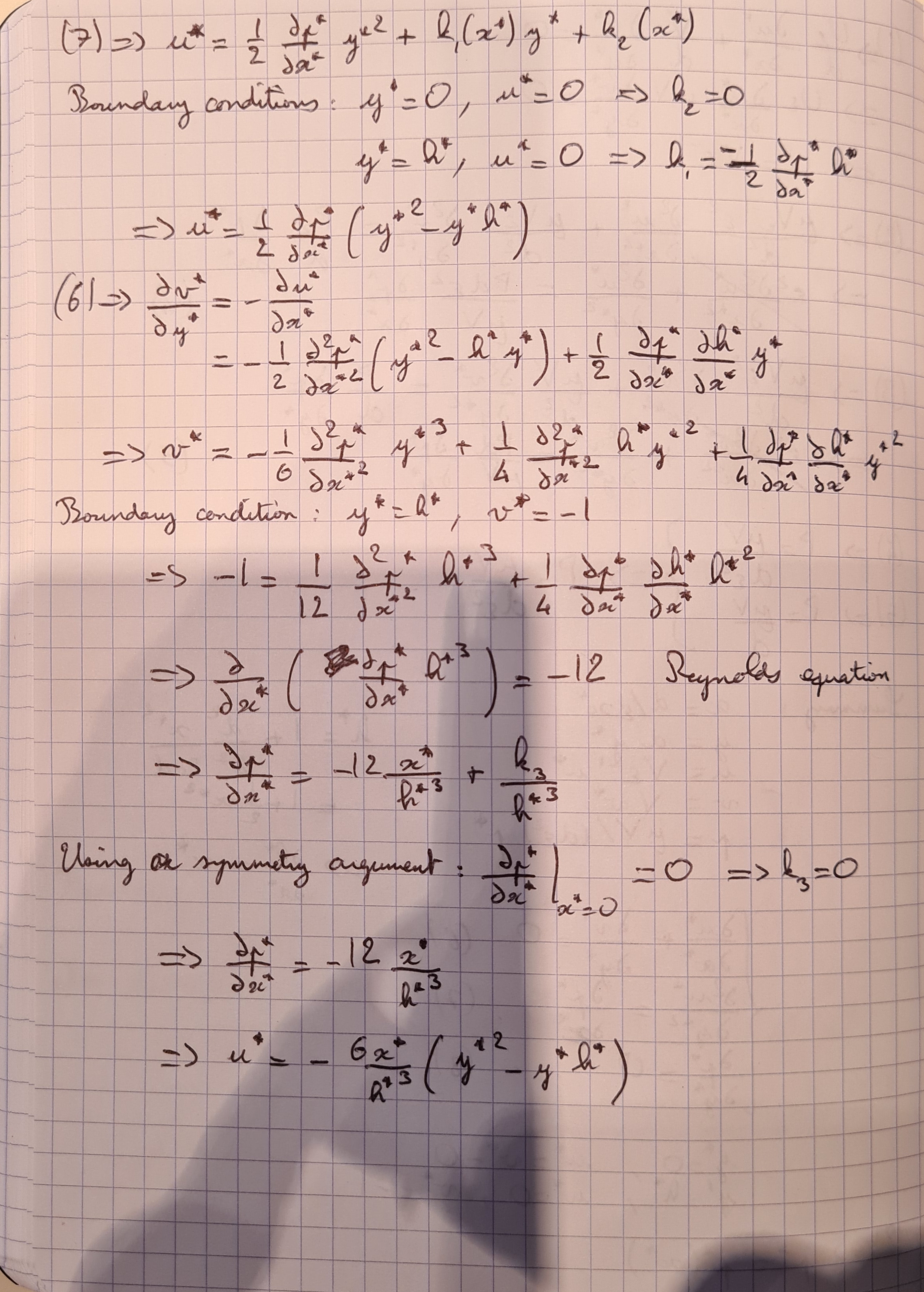
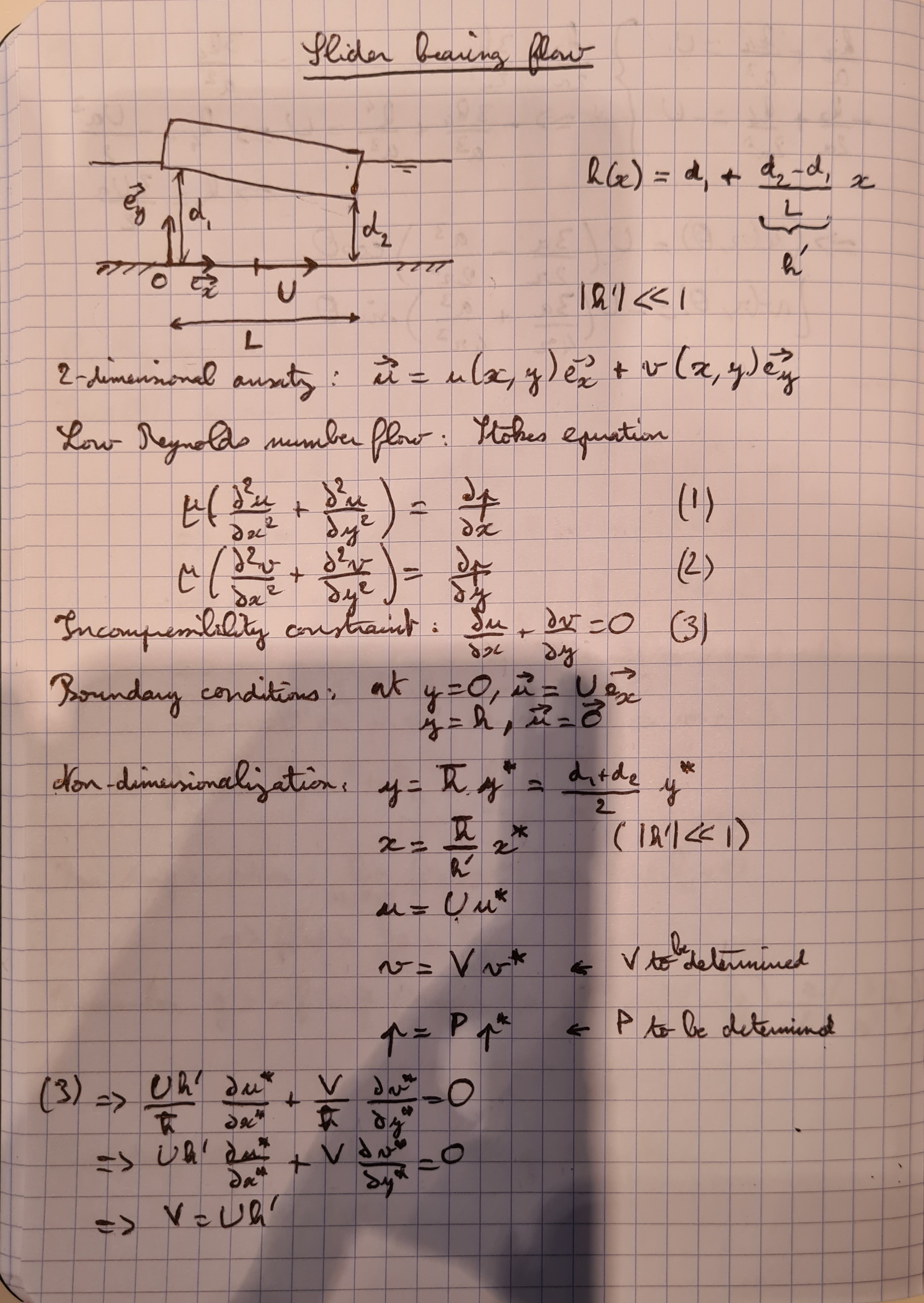
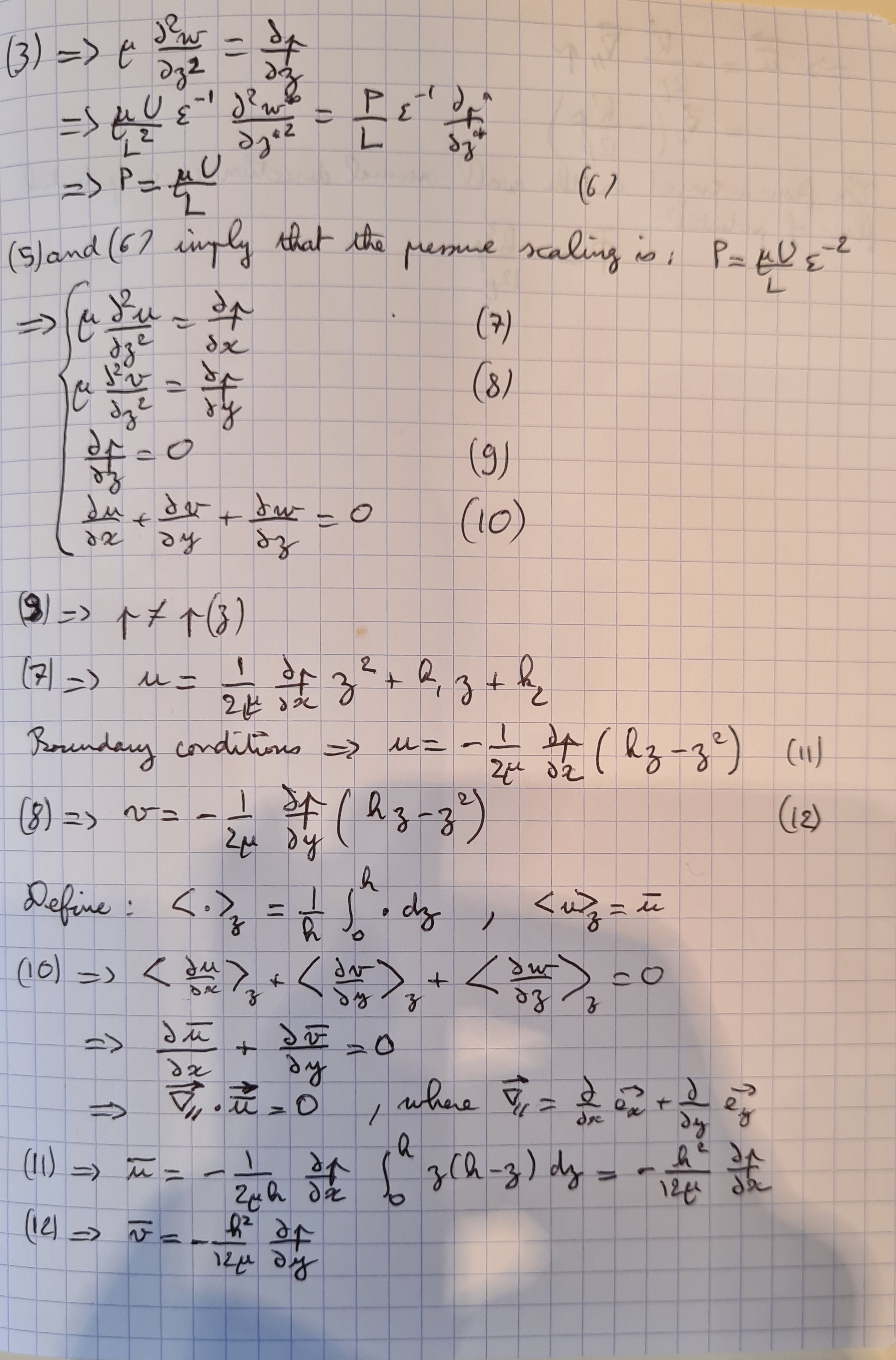
Slider bearing flow: video, notes 1/4, notes 2/4, notes 3/4, notes 4/4
Fluid expulsion between a cylinder and a wall: video, notes 1/3, notes 2/3, notes 3/3
Hele-Shaw flows: video, notes 1/3, notes 2/3, notes 3/3
Chapter 4: Boundary layers
Example sheets: questions, solutions
Stokes first problem: video, notes 1/2, notes 2/2
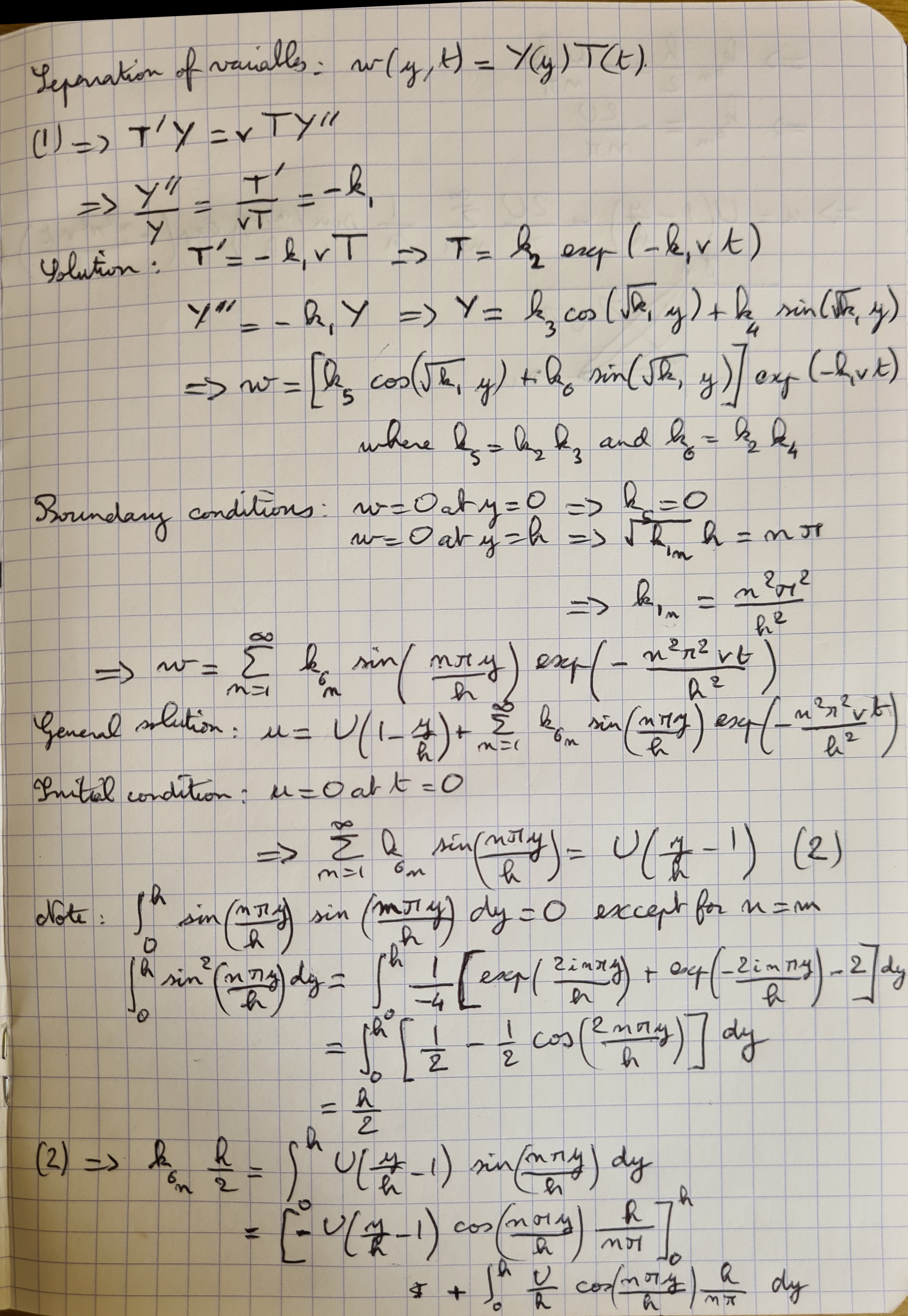
Plane Couette flow startup: video, notes 1/3, notes 2/3, notes 3/3
The vorticity equation: video, notes 1/2, notes 2/2
The Blasius boundary layer: video, notes 1/4, notes 2/4, notes 3/4, notes 4/4
Chapter 5: Potential flows
Example sheets: questions, solutions
The Bernoulli equation: video, notes 1/2, notes 2/2
Two-dimensional potential flows: video, notes
The complex potential: video, notes 1/2, notes 2/2
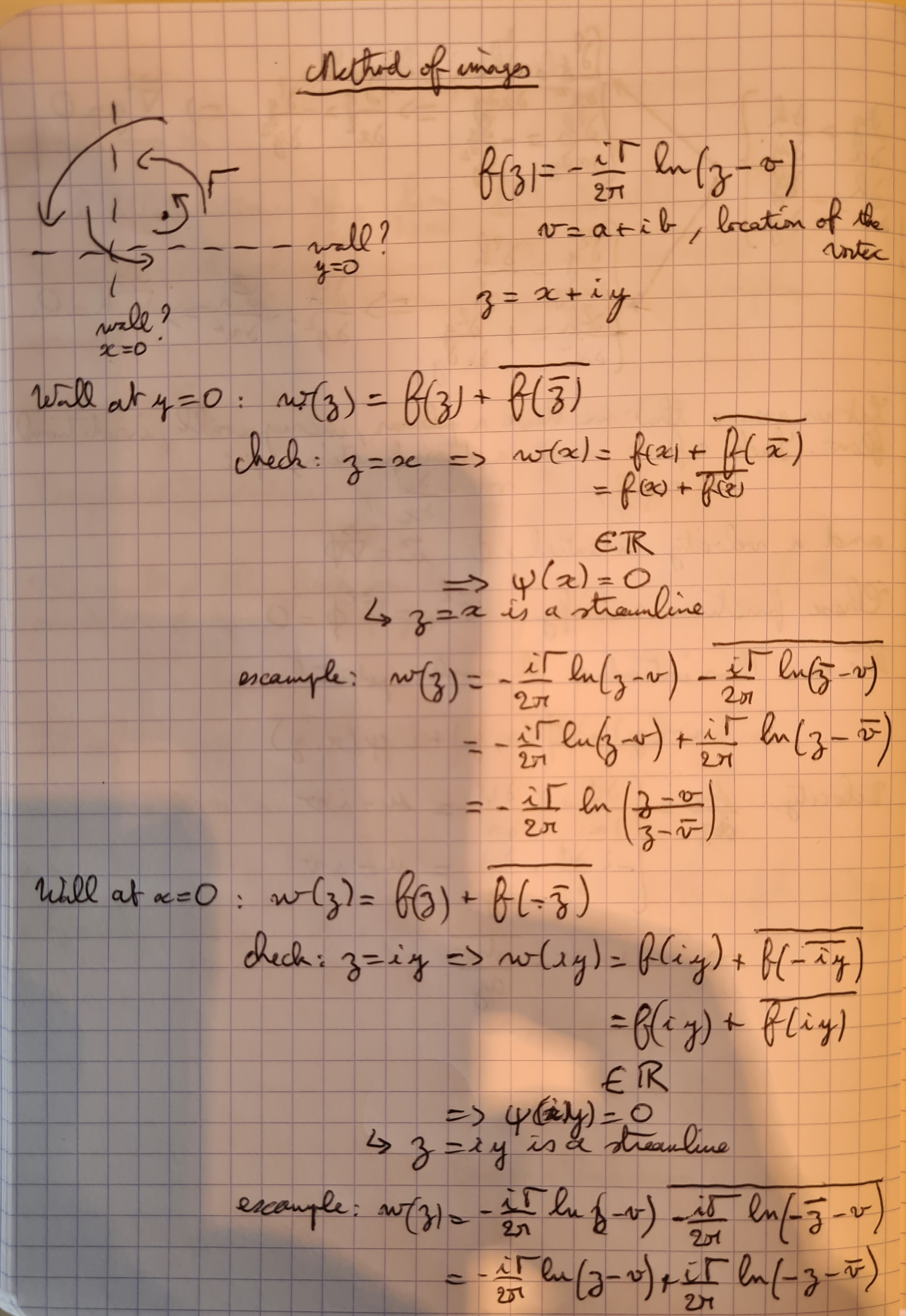
The method of images: video, notes 1/2, notes 2/2
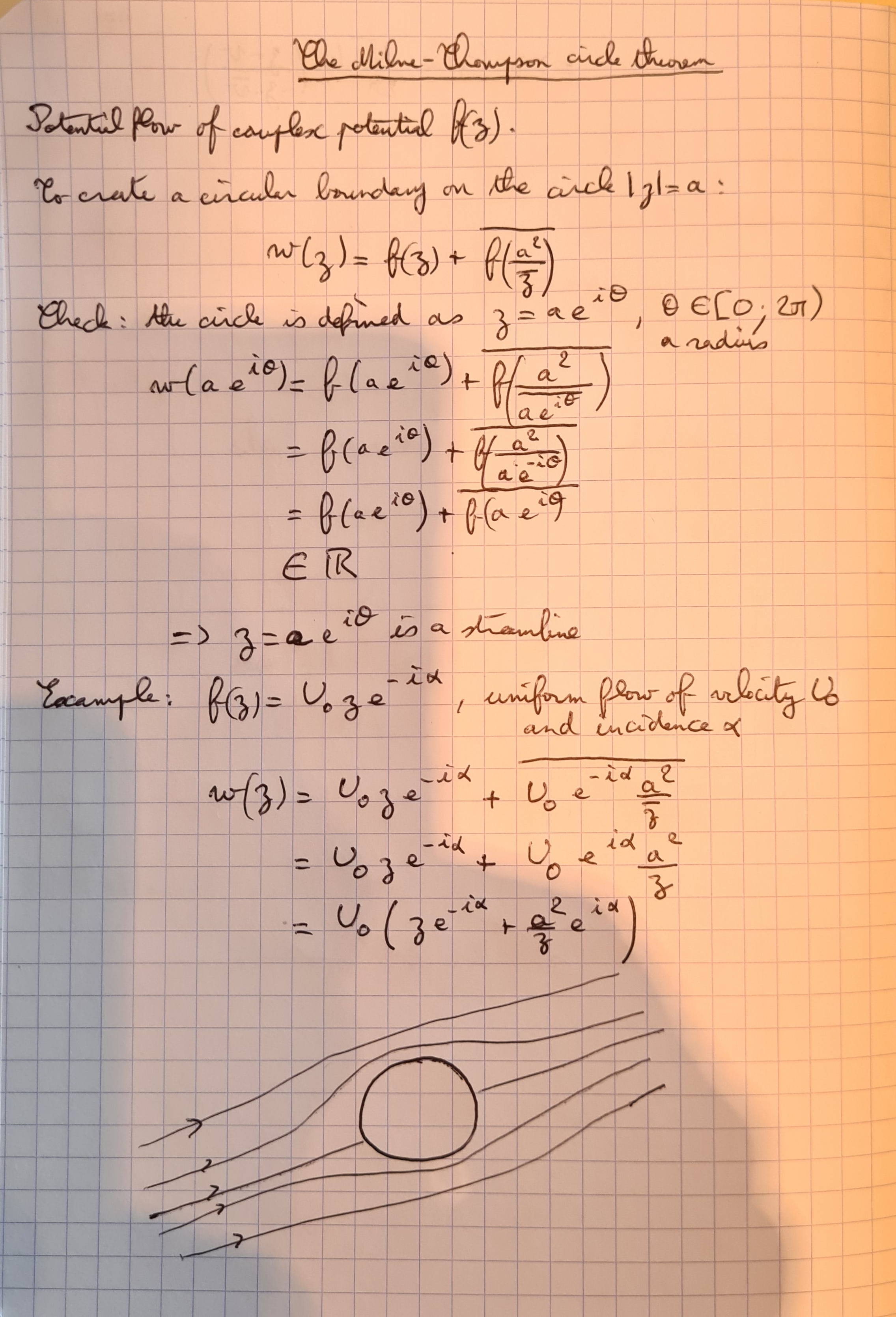
The Milne-Thompson circle theorem: video, notes
Conformal mapping: video, notes
Chapter 6: Waves
Additional documents


